庭や公園でカラフルな小鳥を見かけると、お金では買えない特別な幸福感が得られる。そんなかわいい小鳥たちのなかには、はるばる海を越えてくるものがいる。春に日本にやって来るキビタキ(写真上)とノビタキ(写真下)もそうだ。毎年そのかわいい姿に出会えるためには、日本だけでなく越冬地やその渡りの経路の環境保全も重要になる。さて、あなたはそこにいくら寄付できるか?
森林研究・整備機構森林総合研究所、北海道大学、オルデンブルク大学、北海道立総合研究機構林業試験場、ニュージーランド森林研究所などによる研究グループは、超小型の追跡装置ジオロケーターを使い、キビタキとノビタキの渡りの経路を明らかにした。キビタキはボルネオで越冬し、春は中国大陸を経由して日本に来る。秋は南西諸島とフィリピンを経由してボルネオに帰る。ノビタキは越冬地インドシナ半島から行き帰りとも中国大陸沿いに移動していることがわかった。
研究グループは同時に、日本人を対象に、越冬地と渡りの経路の環境保全のための費用をどれだけ寄付する気があるか(支払い意思額)についてアンケート調査を行った。対象人数は明らかではないが、仮想の森林管理計画への支払い意思額を聞いた2016年の先行研究では、およそ1万2000人が対象になっているので、今回も同程度だと推測できる。
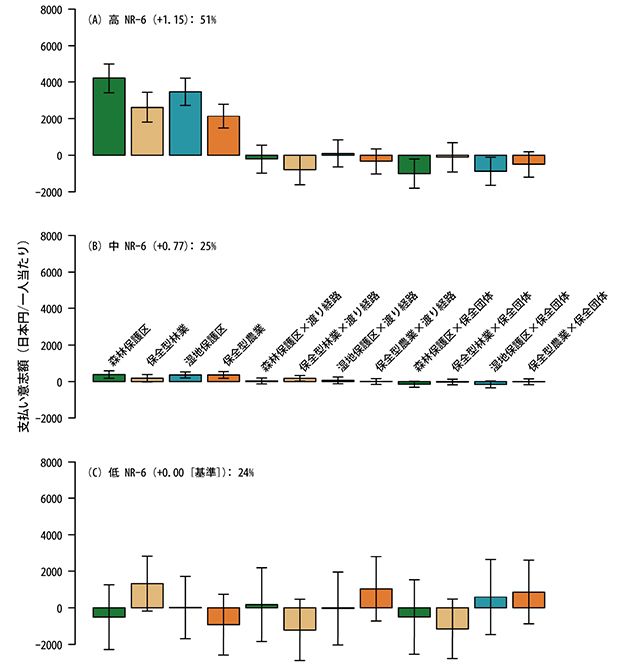
アンケートでは保全の対象として、森林保護区、保全型林業、湿地保護区、保全型農業の4つを設定し、これに渡りの経路を追加したもの、保全団体の活動費を追加したものの合計12の選択肢を設けた。これをひとつだけ選んでもらうのだが、同時に、渡りの経路の図、保全活動の様子を映した写真などをランダムに提示した。また対象者を、自然とのつながりの強いグループ(A)、中くらいのグループ(B)、弱いグループ(C)と3つに分けた。
その結果、自然とのつながりが強い人ほど支払い意思額が高くなる傾向が示された(Aグループの森林保護区への支払い意思額は4000円ほど)。しかし図や写真の提示は、ほとんど影響がないばかりか、Aグループでも保全団体の写真を見せると支払い意思額はむしろ1000円ほど下がった。すべてのグループで、森林保護区、湿地保護区への支払い意思額は高く、保全型林業、保全型農業といった人の事業に関連するものは低い。さらに、保全団体の活動費への支払い意思額はきわめて低い結果となった。
越冬地や渡りの経路上には、開発が進み人が暮らす地域も多い。日本人には人間の活動を排除する保護地域の人気が高いが、そこで生活する人たちを追い出してまで保護地域を作るのはきわめて難しい。人間活動と保全の両立をはかる環境保全型農業や林業の推進が現実的だ。研究グループは、そうした現状を多くの人に知ってもらうこと、そしてキャンプや身近な自然体験を通じて多くの人々に自然とのつながりを強めてもらうことが渡り鳥の環境保全に役立つと話している。



