年齢を重ねて心配になるのは身体能力の衰え「フレイル」だ。フレイル予防として、運動やバランスの取れた食事を心がける人は多いが、じつは若いころの食習慣がフレイル発症に影響することがわかった。
国立長寿医療研究センターは、これまでの研究で、75歳以上の高齢者で朝食をとらない習慣がある人にフレイル有病率が高いことを明らかにし、高齢者に対して質の高い朝食をとるよう勧めてきたが、壮年期(25〜44歳)と中年期(45〜64歳)の食習慣の影響は不明だった。そこで、愛知県知多市で実施した大規模コホート研究(特定の人たちの健康状態を長期間追跡する調査)に参加した65歳以上の高齢者5063人を対象に、若いころの欠食習慣とフレイルの関係について聞き取りを行った。
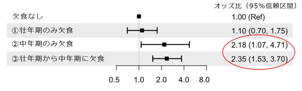
ここで言う欠食は、1日の食事が2回以下のこと。またフレイルの診断基準は、国際的なCHS基準の日本版「J-CHS基準」の5項目のうち3項目以上該当する人をフレイルとした。

すると、壮年期に欠食習慣があった人は3.6パーセント、中年期にあった人は2.8パーセント、高齢期で現在ある人は4.1パーセントで、身体的フレイルがある人は全体の53.8パーセントだった。
欠食とフレイルの関係性を調べると、フレイル有病率の平均値がもっとも高かったのは、壮年期から中年期にかけて欠食していた人だった。ただし、中年期のみに欠食習慣があった人のフレイル発症率の分布の幅は広く、最大値では最高となった。つまり、中年期に欠食習慣があった人がもっとも危険ということになる。



